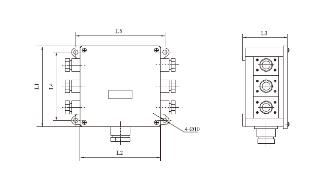
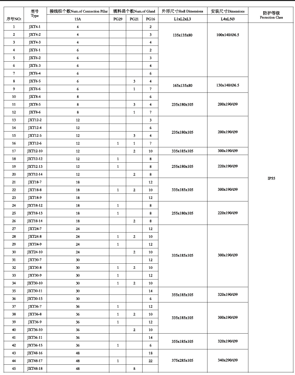
Marine junction box
JXT
Technical Standard:
Model:Marine junction box
Working voltage:≤600V
Working current of junction box :≤15A
Working current of junction box with fuse:≤20A
Protection class:IP56
Box-body material:steel
Technical Standard:
Model:Marine junction box
Working voltage:≤600V
Working current of junction box :≤15A
Working current of junction box with fuse:≤20A
Protection class:IP56
Box-body material:steel